目錄
1引言 3
1.1概述 3
1.2設備結構及工作原理 3
1.3主要技術參數 3
2 安裝確認(IQ) 4
2.1目的 4
2.2驗證方法 4
2.3 文件資料檢查 4
2.4 設備主要參數及材質確認 4
2.5公用工程連接 5
2.6儀器儀表校正 5
2.7安裝場地確認 6
2.8安裝確認小結 6
3 運行確認(OQ) 6
3.1檢查項目方法、步驟及標準 7
3.2運行確認小結: 7
4 性能確認(PQ) 8
4.1目的 8
4.2懸浮粒子數測定 8
4.2.1測點分布 8
4.2.2測試方法 9
4.2.3計算 9
4.2.3合格標準 10
4.2.4潔凈度檢測小結 10
4.3自凈時間測定 11
4.3.1原理 11
4.3.2儀器選用 11
4.3.2測試方法和過程要求 11
4.2.4自凈時間檢測小結 12
4.3性能確認小結 13
5驗證小組成員及分工 13
6驗證總結論、評價及建議 13
文件資料檢查 14
設備主要參數確認及材質檢查 15
公用介質連接檢查 16
儀器儀表校正檢查 17
安裝場地檢查記錄 18
運行確認檢查記錄 19
性能確認檢查記錄-懸浮粒子 20
性能確認檢查記錄-自凈時間 21
1引言
1.1概述
超凈工作臺由*******生產,為雙人單面100凈化
超凈工作臺,我公司用于細菌內毒素檢查環境凈化。按中華人民共和G藥典附錄要求,細菌內毒素檢查的操作過程應防止微生物和內毒素的污染,為此我公司大板橋基地技改時購進了該設備,用以保障細菌內毒素檢驗環境保護。由于是新設備,根據公司相關規定,應驗證合格后投入使用,確保檢測環境能得到可靠保證。
1.2設備結構及工作原理
設備結構如示意圖。其工作原理如下:房間內空氣經F8級中效過濾器過濾后吸入進風側腔體,由增壓風機加壓、B級(≥0.3μm塵粒過濾效率≥99.99%)高效過濾器過濾后處理成為高潔凈空氣,以≥0.25m/s的速度快速送入操作區,形成高潔凈環境。為方便操作,該設備配備有局部有局部照明燈,操作區內照度≥300lux;為方便對腔體內空氣和表面進行消毒處理,配置有專用紫外燈。為能實現對腔體內空氣凈化處理效果調節目的,該設備的增壓風機電機為雙速電機,可根據使用條件選擇需要的工作狀態速度,層流風速分低速0.25m/s和0.6m/s兩檔。
1.3主要技術參數
|
型號:SW-CJ-2FD; |
潔凈等級:100級(以≥0.5μm塵粒計) |
|
平均風速:0.25~0.6m/s; |
噪音:≤62dB(A) |
|
照度:≥300lux |
總功率:0.8KW |
|
電源:220V/50HZ |
重量:250Kg |
|
工作區寬×深×高:1360mm×650mm×520mm |
外形尺寸寬×深×高:1050mm×680mm×1600 |
|
高效過濾器型號長×寬×厚:1350mm×550mm×38mm |
照明燈功率/數量:30W/1盞 |
|
紫外燈功率/數量:30W/1盞 |
產品編號:0910510 |
2 安裝確認(IQ)
2.1目的
本階段驗證是根據
超凈工作臺技術資料和GMP相關規定編制的,主要目的是通過對設備制造、運輸情況檢查和整個安裝過程有關技術指標測試判斷是否符合G家規范和設備廠家要求,從而為設備正式運行做好準備工作。為達到以上目的,本方案制定了具體的驗證條件,主要包括:設備的開箱驗收、安裝場地的準備、設備技術文件的制定(含設備備件清單的制定、編寫標準操作及維護保養SOP、編制用于設備運行的各類記錄等)、儀器儀表的校驗情況檢查等。參加本驗證的人員有:設動部相關技術人員、質量管理部相關操作檢驗人員。
2.2驗證方法
對設備安裝條件及場地的準備情況的實地檢查、公用工程連接情況檢查、技術文件制定情況檢查(按開箱情況填寫設備開箱驗收單、制定設備備件清單、編寫用于本設備使用方法和注意事項的各類文件和記錄表格)、相關儀器儀表的校驗情況檢查等。
2.3 文件資料檢查
在設備到貨、安裝后應具備以文件資料,建立設備檔案、質量部應根據設備特點制定相關的技術文件(草案),設動部相關技術人員應逐一核對檢查,歸檔備案。檢查項目及標準詳見下表,記錄樣張見附件1。
|
文件名稱 |
編號 |
存放處 |
|
超凈工作臺使用說明書 |
|
|
|
合格證 |
|
|
|
裝箱單 |
|
|
|
開箱驗收單 |
|
|
|
凈化工作臺操作及維護保養SOP |
|
|
檢查人: 日期: 年 月 日#p#分頁標題#e#
2.4 設備主要參數及材質確認
對照訂購合同、設備說明書等核對到貨設備關鍵參數,檢查關鍵部位材質,確保合同得到完全執行,檢查項目及標準詳見下表,記錄樣張見附件2。
|
項目 |
要求 |
實際檢查情況 |
結論 |
|
型號 |
SW-CJ-2FD |
|
|
|
潔凈等級 |
100級(以≥0.5μm塵粒計) |
|
|
|
平均風速 |
0.3~0.6m/s |
|
|
|
噪音 |
≤62dB(A) |
|
|
|
照度 |
≥300lux |
|
|
|
總功率 |
0.8KW |
|
|
|
電源 |
220V/50HZ |
|
|
|
重量 |
250Kg |
|
|
|
工作區尺寸 |
寬×深×高:1050mm×680mm×1600 mm |
|
|
|
外形尺寸 |
寬×深×高:1360mm×650mm×520mm |
|
|
|
高效過濾器型號 |
長×寬×厚:1350mm×550mm×38mm |
|
|
|
照明燈功率/數量 |
30W/1盞 |
|
|
|
紫外燈功率/數量 |
30W/1盞 |
|
|
|
產品編號 |
0910510 |
|
|
|
超凈臺內、外內表面 |
超凈臺內表面箱體、臺面、擴散孔板等應為普通不銹鋼制造,升降滑動門為透明有機玻璃。照明燈、殺菌燈架應為普通不銹鋼,且燈架應為潔凈型,方便清洗、擦拭。外表面為噴塑鋼板。 |
|
|
|
過濾增壓系統 |
增壓腔室、中效過濾網骨架噴塑鋼板,高效過濾器應為金屬外框高效過濾器。 |
|
|
檢查人: 日期: 年 月 日
2.5公用工程連接
按設備廠家提供的設備工作條件,對公用工程系統有如下要求,設備技術人員應逐一檢查,為設備運行提供可靠安全保障,檢查項目及標準詳見下表,記錄樣張見附件3。
|
項目 |
要求 |
實際測試 |
結論 |
|
供電電壓 |
220V±10% |
|
|
|
供電頻率 |
50HZ |
|
|
|
連接導線 |
額定工率800W,工作電流≤4A,設備自配3×1.5mm2銅芯軟線,3足插頭,要求提供≥10A負載能力電源,接地可靠,連接形式為三孔插座。 |
|
|
檢查人: 日期: 年 月 日#p#分頁標題#e#
2.6儀器儀表校正
設備自帶儀器、儀表及測試用的儀器,設動部計量室應按《計量器具分類及檢定管理規程SMP/NJ/SD155》等要求進行規范管理,制定校檢計劃、按計劃進行校檢。凡用于本設備參數檢測、及驗證檢測使用的儀器、儀表應出具校檢合格證,否則不準使用,以確保驗證的準確性。檢查項目及要求詳見附件4。
|
名稱 |
型號 |
校檢編號 |
校檢單位 |
|
風速儀 |
EY3-2A |
|
|
|
塵埃粒子計數器 |
BCJ-1 |
|
|
|
照度計 |
AR-823 |
|
|
|
聲級計 |
HS5920 |
|
|
2.7安裝場地確認
保證操作、檢修方便,對設備安裝場地進行檢查。檢查項目及標準詳見下表,記錄樣張見附件5。
|
檢查項目 |
標準要求/檢查方法 |
實際檢查情況 |
結論 |
|
操作、維修空間 |
操作面距離≥1m,保證操作時檢品存放和操作安全。兩側面檢修距離≥0.6m,背面距離≥0.2m,保證散熱效果,頂部空間≥1m,保證檢修操作需要。接合設備外形尺寸,要求房間空間長×寬×高≥2m×3m×2.5m |
|
|
|
地面 |
移動式腳輪,單位承重≥500kg/m2,耐磨材料地面。 |
|
|
|
空氣狀況和通風 |
中效過濾器為F8級無紡布過濾器,室內空氣應少粉塵。設紫外消毒,必要時可排風,房間應設排風裝置。 |
|
|
2.8安裝確認小結
(由參加驗證成員根據文件資料檢查情況、設備材質、公用工程連接情況判斷安裝是否符合規范,是否具備設備運行條件):
總結人: 日期: 年 月 日
3 運行確認(OQ)
本階段驗證是根據《
凈化工作臺操作及維護保養規程》SOP/NJ/ZL358及《細菌內毒素檢查操作規程》SOP/NJ/ZL431等相關制度及操作SOP制定的,采用空車試運轉方式進行,目的是要驗證設備能在預期的及設計范圍內可靠運行,并能完全達到規定的技術指標和使用要求。為達到以上目的,本方案制定了具體的驗證實施方法和實施過程中應記錄的項目及其標準限度,以確保驗證實施的順利進行。參與驗證的部門有:設動部、質量部,必要時要求設備生產廠家參與。
3.1檢查項目方法、步驟及標準
質量部儀器使用人員和設動部相關技術人員根據SOP實際運行設備,進行檢查、測試。檢查項目及要求詳見下表,記錄樣張見附件6。
|
檢查項目 |
合格標準 |
實際檢查情況 |
結論 |
|
增壓過濾系統工作情況 |
中效過濾進風口通暢,空氣供應充足。 |
|
|
|
風機開關、調速按鈕控制靈活,無失效現象。風機運轉平穩,電機轉向正確,無過熱現象。風機轉子不與外殼發生機械干涉,運行時無異響。 |
|
|
|
風機、照明、紫外全部開啟時,運行時無過流現象,工作電流≤4安培。 |
低速(安培) |
高速(安培) |
|
|
|
|
|
|
|
|
|
風機工作時噪聲小,增壓風機工作燥聲應小于62dB(A)。(幾何中心距1m測試) |
低速≤55dB(A) |
高速≤62dB(A) |
|
|
|
|
|
|
|
|
|
擴散孔板氣流導向好,能超凈臺工作區潔凈風送出后無死角,保證檢驗環境符合細菌內毒素檢查潔凈度要求。 |
|
|
|
風速(垂直層流風速≥0.3m/s,低速下測試,不均勻度≤25%)。注 |
V1 |
V2 |
V3 |
不均勻度 |
|
|
|
|
|
|
V4 |
V5 |
V6 |
|
|
|
|
|
|
升降有機玻璃門 |
門升降靈活,定位牢靠,抬升**任意位置定位后無自然跌落現象。有機玻璃透明,操作時觀察方便。 |
|
|
|
照明 |
觸摸式開關按鈕板上操作控制照明燈控制正常,無失效現象。 |
|
|
|
照度達到檢驗環境要求≥300lux。邊界長邊邊界300mm,短邊邊界200內取4點檢測。 |
A1 |
A2 |
A3 |
A4 |
平均 |
|
|
|
|
|
|
|
消毒 |
觸摸式開關按鈕板上操作控制紫外燈控制正常,無失效現象。 |
|
|
注:風速測試應在層流臺四周20cm邊界內均勻布點測試,點縱橫間距≤40cm,布點見左圖。#p#分頁標題#e#
3.2運行確認小結:
(由參加驗證成員根據設備運行情況和設備性能要求做客觀評價,并說明運行確認是否合格,可否進行性能確認):
總結人: 日期: 年 月 日
4 性能確認(PQ)
4.1目的
本階段驗證是根據《
凈化工作臺操作及維護保養規程》SOP/NJ/ZL358、《細菌內毒素檢查操作規程》SOP/NJ/ZL431以及《層流
潔凈工作臺檢驗標準JG/T 19—1999》G家標準制定的,方案制定了具體的驗證方法和實施過程中應記錄的項目及可接受的標準,以確保驗證的順利進行。參與本驗證的部門有:設動部、質量部。
4.2懸浮粒子數測定
公司目前無DOP(PAO)氣融膠發生器和光散射激光粒子計數器,故此方案只檢測在正常使用時工作區實際達到的潔凈度。本機設計為100級潔凈層流單元,按《潔凈區懸浮粒子測定操作規程SOP/NJ/ZL437》在設備運行10分鐘(按100級潔凈室性能要求,自凈時間應≤5分鐘,考慮本設備在一般區采集空氣,將自凈時間加長**10分鐘)后進行檢測。
4.2.1測點分布
按G家相關要求,根據凈化級別、房間面積所有房間測點數要求及布置方法如下。塵埃粒子監測**少采樣點的確定及布局要求:
|
房間面積m2 |
采樣點數 |
采樣點布置 |
采樣點位置 |
|
100級 |
|
<10 |
2~3 |
 
|
一般離地0.8米;采樣點多于5點時,可在離地0.8~1.5米區域內分層布置,但每層不少于5點。采樣點不得少于2點,總采樣次數不得少于5次。 |
|
≥10~<20 |
4 |
|
≥20~<40 |
8 |
塵埃粒子采樣量:
|
潔凈度級別 |
采樣量(L/次) |
|
≥0.5μm |
≥5μm |
|
100 |
5.66 |
-- |
4.2.2測試方法
參見中華人民共和GG家標準GB/T16292-1996《醫藥工業潔凈(區)懸浮粒子的測試方法》、《潔凈區懸浮粒子測定操作規程SOP/NJ/ZL437》。
4.2.3計算
懸浮粒子濃度的采樣數據應按下述步驟作統計計算:
a.單一采樣點的平均粒子濃度

式中:A——某一采樣點的平均粒子濃度,粒/m3;
Ci——某一采樣點的粒子濃度(i=1,2,···,N),粒/ m3;
N——某一采樣點上的采樣次數,次。
b. 平均值的均值
式中:M——平均值的均值,即潔凈室(區)的平均粒子濃度,粒/m3;
Ai——某一采樣點的平均粒子濃度(i=1,2,···,L),粒/m3;
L——某一潔凈室(區)內的總采樣點數,個。
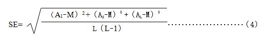
c. 標準誤差
式中:SE——平均值均值的標準誤差,粒/ m3 。
d. 置信上限
UCL=M+t×SE ···············(5)
式中:UCL——平均值均值的95%置信上限,粒/ m3;
t——95%置信上限的t分布系數,見表3。
表3 95%置信上限的t分布系數
|
采樣點數L |
2 |
3 |
4 |
5 |
6 |
7 |
8 |
9 |
>9 |
|
t |
6.31 |
2.92 |
2.35 |
2.13 |
2.02 |
1.94 |
1.90 |
1.86 |
— |
|
注:當采樣點數多于9點時,不需要計算UCL。 |
#p#分頁標題#e#
4.2.3合格標準
a.層流單元內所有測點含塵濃度不大于要求的空氣潔凈級別的濃度上限。
100級塵埃粒子濃度級別上限值
|
潔凈度級別 |
塵粒**大允許數 /立方米 |
|
≥0.5µm |
5µm |
|
100級 |
3500 |
0 |
b.考慮95%置信值后塵埃粒子濃度小于該潔凈級別的濃度上限,即N平均+tδN平均≤級別上限。
潔凈度檢測記錄樣張見附件7。
4.2.4潔凈度檢測小結
(由驗證小組成員根據檢測數據做科學計算后做分析評價,確認是否達到我公司細菌內毒素檢測環境要求。)
總結人: 日期: 年 月 日
5驗證小組成員及分工
|
部 門 |
部門職責 |
責任人 |
工作劃分 |
備注 |
|
質量部 |
方案起草、培訓、組織實施、書寫報告 |
|
方案起草 |
|
|
|
培訓、組織實施、書寫報告 |
|
按《凈化工作臺操作及維護保養規程》SOP/NJ/ZL358進行操作 |
|
進行操作、復核 |
|
取樣、檢驗、出報告 |
|
進行操作、審核 |
|
|
設動部 |
相關項目檢測 |
|
操作檢查 |
|
|
公司驗證委員會 |
方案審定、批準、實施、發放驗證合格證 |
|
方案審核 |
|
|
|
方案批準 |
6驗證總結論、評價及建議
(由驗證小組組長根據設備安裝確認、運行確認、性能確認情況對設備綜合性能做客觀評價、建議,并對再驗證周期做出明確規定)
總結人: 日期: 年 月 日
附件一
文件資料檢查
|
文件名稱 |
編號 |
存放處 |
|
超凈工作臺使用說明書 |
|
|
|
合格證 |
|
|
|
裝箱單 |
|
|
|
開箱驗收單 |
|
|
|
凈化工作臺操作及維護保養SOP |
|
|
|
評價:經檢查確認,該設備文件資料□(齊全)□(不齊全), □(建立)□(未建立)專門檔案,管理□(規范)□(不規范), □(符合) □(不符合)GMP及相關規定。 |
檢查人: 日期: 年 月 日
附件二
設備主要參數確認及材質檢查
|
項目 |
要求 |
實際檢查情況 |
結論 |
|
型號 |
SW-CJ-2FD |
|
|
|
潔凈等級 |
100級(以≥0.5μm塵粒計) |
|
|
|
平均風速 |
0.3~0.6m/s |
|
|
|
噪音 |
≤62dB(A) |
|
|
|
照度 |
≥300lux |
|
|
|
總功率 |
0.8KW |
|
|
|
電源 |
220V/50HZ |
|
|
|
重量 |
250Kg |
|
|
|
工作區尺寸 |
寬×深×高:1050mm×680mm×1600 mm |
|
|
|
外形尺寸 |
寬×深×高:1360mm×650mm×520mm |
|
|
|
高效過濾器型號 |
長×寬×厚:1350mm×550mm×38mm |
|
|
|
照明燈功率/數量 |
30W/1盞 |
|
|
|
紫外燈功率/數量 |
30W/1盞 |
|
|
|
產品編號 |
0910510 |
|
|
|
超凈臺內、外內表面 |
超凈臺內表面箱體、臺面、擴散孔板等應為普通不銹鋼制造,升降滑動門為透明有機玻璃。照明燈、殺菌燈架應為普通不銹鋼,且燈架應為潔凈型,方便清洗、擦拭。外表面為噴塑鋼板。 |
|
|
|
過濾增壓系統 |
增壓腔室、中效過濾網骨架噴塑鋼板,高效過濾器應為金屬外框高效過濾器。 |
|
|
|
評價:對照設備銘牌、送貨清單等確認,到貨的設備與訂貨設備型號□(一致)□(不一致),主要性能參數(如凈化級別、照度、噪聲、設備材質、過濾器選用等級等)與合同□(一致)□(不一致),詳見設備開箱驗收單,確保合同□(能)□(不能)得到完全執行。按公司設備(儀器和固定資產管理等)相關規定□(進行)□(未進行)編號,正式納入公司設備(儀器)管理范疇,□(符合) □(不符合)GMP及相關規定。 |
檢查人: 日期: 年 月 日#p#分頁標題#e#
附件三
公用介質連接檢查
|
項目 |
要求 |
實際測試 |
結論 |
|
供電電壓 |
220V±10% |
|
|
|
供電頻率 |
50HZ |
|
|
|
連接導線 |
額定工率800W,工作電流≤4A,設備自配3×1.5mm2銅芯軟線,3足插頭,要求提供≥10A負載能力電源,接地可靠,連接形式為三孔插座。 |
|
|
|
評價:相關技術人員對設備運行所需公用介質電源進行了檢查,其中實際供電電壓□(在)□(不在)儀品(設備)規定工作范圍內,實際安裝電源導線額定載流量□(大于)□(小于)設備運行額定工作電流;由于帶電熱絲加熱裝置,搭殼等異常情況易發生觸電事故,電源□(已)□(未)安裝專用接地線,接地□(可靠)□(不可靠);□(已)□(未)安裝漏電保護開關,□(能)□(不能)確保設備運行安全要求;□(具備)□(不具備)操作人員安全保護條件。 |
檢查人: 日期: 年 月 日
附件四
儀器儀表校正檢查
|
名稱 |
型號 |
校檢編號 |
校檢單位 |
|
風速儀 |
EY3-2A |
|
|
|
塵埃粒子計數器 |
BCJ-1 |
|
|
|
照度計 |
AR-823 |
|
|
|
聲級計 |
HS5920 |
|
|
|
評價:按公司計量管理相關規定,對驗證涉及計量器具等□(已)□(未)納入管理范疇,(儀器)設備自帶儀器和檢驗用儀器□(已)□(未)進行校驗,□(在)□(不在)校驗合格效期內,確保檢查測試數據準確;設備操作控制參數真實。 |
檢查人: 日期: 年 月 日
附件五
安裝場地檢查記錄
|
檢查項目 |
標準要求/檢查方法 |
實際檢查情況 |
結論 |
|
操作、維修空間 |
操作面距離≥1m,保證操作時檢品存放和操作安全。兩側面檢修距離≥0.6m,背面距離≥0.2m,保證散熱效果,頂部空間≥1m,保證檢修操作需要。接合設備外形尺寸,要求房間空間長×寬×高≥2m×3m×2.5m |
|
|
|
地面 |
移動式腳輪,單位承重≥500kg/m2,耐磨材料地面。 |
|
|
|
空氣狀況和通風 |
中效過濾器為F8級無紡布過濾器,室內空氣應少粉塵。設紫外消毒,必要時可排風,房間應設排風裝置。 |
|
|
|
評價:現場對設備安裝場地進行檢查,地面材質為□(耐磨環氧地坪)□(水泥砼地面),□(易)□(不易)劃傷,產塵□(少)□(多),(符合)□(不符合)規定;設備安裝空間、隔尺寸(符合)□(不符合)規定;通風設置(已)□(未)安裝;(能)□(不能)保證檢驗操作要求,(符合)□(不符合)設備運行條件。 |
檢查人: 日期: 年 月 日#p#分頁標題#e#
附件六
運行確認檢查記錄
|
檢查項目 |
合格標準 |
實際檢查情況 |
結論 |
|
增壓過濾系統工作情況 |
中效過濾進風口通暢,空氣供應充足。 |
|
|
|
風機開關、調速按鈕控制靈活,無失效現象。風機運轉平穩,電機轉向正確,無過熱現象。風機轉子不與外殼發生機械干涉,運行時無異響。 |
|
|
|
風機、照明、紫外全部開啟時,運行時無過流現象,工作電流≤4安培。 |
低速(安培) |
高速(安培) |
|
|
|
|
|
|
|
|
|
風機工作時噪聲小,增壓風機工作燥聲應小于62dB(A)。(幾何中心距1m測試) |
低速≤55dB(A) |
高速≤62dB(A) |
|
|
|
|
|
|
|
|
|
擴散孔板氣流導向好,能超凈臺工作區潔凈風送出后無死角,保證檢驗環境符合細菌內毒素檢查潔凈度要求。 |
|
|
|
風速(垂直層流風速≥0.3m/s,低速下測試,不均勻度≤25%)。 |
V1 |
V2 |
V3 |
不均勻度 |
|
|
|
|
|
|
V4 |
V5 |
V6 |
|
|
|
|
|
|
升降有機玻璃門 |
門升降靈活,定位牢靠,抬升**任意位置定位后無自然跌落現象。有機玻璃透明,操作時觀察方便。 |
|
|
|
照明 |
觸摸式開關按鈕板上操作控制照明燈控制正常,無失效現象。 |
|
|
|
照度達到檢驗環境要求≥300lux。邊界長邊邊界300mm,短邊邊界200內取4點檢測。 |
A1 |
A2 |
A3 |
A4 |
平均 |
|
|
|
|
|
|
|
消毒 |
觸摸式開關按鈕板上操作控制紫外燈控制正常,無失效現象。 |
|
|
|
評價:通電進行設備運行檢查,中效過濾進風□(通暢)□(不通暢),空氣供應□(充足)□(不足);工作電壓□(正常)□(不正常),工作總電流□(大于)□(小于)**大額定電流電流,□(有)□(無)過載現象。風機開關控制□(方便)□(不方便),□(有)□(無)失效現象。運行時風機運轉□(平穩)□(異常),電機轉向□(正確)□(不正確),□(有)□(無)過熱現象,轉子□(會)□(不會)與外殼發生機械干涉,□(有)□(無)異響;實測噪聲□(小于)□(大于)設計值。工作區層流導流感覺□(均勻)□(不均勻),實測風速各點風速□(大于)□(小于)規定0.3m/s設計低限值,不均勻度為 %,□(在)□(不在)規定的≤25%極限范圍內。升降門升降□(靈活)□(卡滯),定位□(牢靠)□(不牢靠),□(有)□(無)跌落現象。照明□(大于)□(小于)設計值,控制□(正常于)□(不正常)。消毒燈控制□(正常)□(不正常),工作□(正常)□(不正常)。確認該設備運行確認□(合格)□(不合格)。 |
檢查人: 日期: 年 月 日#p#分頁標題#e#
附錄六
性能確認檢查記錄-懸浮粒子
|
狀態:靜態 |
層流單元名稱 |
|
時間: |
|
級別 |
粒徑 |
P1a |
P1b |
P1c |
P2a |
P2b |
P2c |
平均-個/m3 |
標準誤差 |
置信值-個/m3 |
結論 |
|
100級 |
0.5μm |
|
|
|
|
|
|
|
|
|
|
|
|
|
|
5μm |
|
|
|
|
|
|
|
|
|
|
粒徑 |
P3a |
P3b |
P3c |
P4a |
P4b |
P4c |
|
0.5μm |
|
|
|
|
|
|
|
|
|
|
5μm |
|
|
|
|
|
|
|
|
|
|
附:測試按《潔凈區懸浮粒子測定操作規程SOP/NJ/ZL437》實施; |
|
復核人: |
檢測人: |